
別ブログの「MT4インジケーター貯蔵庫」のベスト版第5弾です。
 今回も魅力的で使えるインジケーターをご紹介していきます。
- 過去のインジ記事一覧
- 【厳選】個人的にお勧めできるフリーのMT4インジ15選【有料級】
 【凄い】個人的にお勧めできるフリーのMT4インジ ロンドさん製作編【有料級】
 【厳選】個人的にお勧めできるフリーのMT4インジ15選 Part3【最強】
 【厳選】個人的にお勧めできるフリーのMT4インジ15選part4【シグナル多め】
 【優秀】個人的にお勧めできるフリーのMT4インジ15選 Part5【魅力的】
 【これで無料?】個人的にお勧めできるフリーのMT4インジ15選 Part6【ラインタイプ多め】
 【まだまだあるぞ!】個人的にお勧めできるフリーのMT4インジ15選【驚異的】
 【インジに限界はない】個人的にお勧めできるフリーのMT4インジ15選【優秀】
 【インジ厨必見!】個人的にお勧めできるフリーのMT4インジ15選 Part9【客観性の極】
 【超便利】個人的にお勧めできるフリーのMT4インジ15選 Part10【MT4万歳!】
サイン型インジケーター
instant-profit-scalper

トレンドフォロー型のシグナルインジです。
 上昇トレンドならピンク色の矢印が出現し、ピンク色のラインでトレンド方向を示します。逆に下降トレンドなら黄色の矢印が出現し、黄色のラインでトレンド方向を示します。
ラインの色でトレンド方向が分かりやすくなりますので、黄色やピンク色のラインを一つの波として捉えて、ダウ理論におけるトレンド解釈にも使えます。
トレンドの押し目や戻りになる個所でエントリーすることで、優位性と勝率を高められるでしょう。損小利大型のシグナルです。
123PatternsV6

ダウ理論の第3波目のブレイクに代表される「1-2-3パターン」をシグナル化したインジです。
自動で直近の高値安値を認識しながら、パターンが成立したらシグナルが出現します。
 ラインはリペイントしながら推移しますし、エントリーサインも少し遅れて出現するのですが、時に大きなブレイクを取る事が出来るのが特徴です。
 (エントリーサインはリペイントしません)
ある程度ライントレードの技術がある人が使うと面白いのではないかと思います。
Stop_reversal_bluestops

トレンドフォロー型で損小利大のサインを出し、更には損切りポイントも一緒に示してくれるインジです。
損切り幅は固定で○○pips離れたポイントにするか、ATRを参考にしたものかのどちらかが選べます。デフォルト設定では損切り幅は少々広めですが、サインの精度がなかなか良く、勝率高めのトレドが出来ると思います。
ポジション保有時間は長めになりますが、優秀なサイン系インジです。
DynamicRangeIndicator

トレンド逆張り系のインジです。
 大きく動いた後に少し反転するとサインが出現します。
このサイン通りにトレードして勝つのは厳しいかとは思いますが、エントリー方向を確認した上で使用すると良い感じで勝てるのではないかと思います。
短期決戦型に用いるのも面白いでしょう。
ScientificScalper

チャート下に表示されるタイプのシグナルインジです。
相場が上昇トレンドの時は背景が青色になり、緑色のサインが点灯したらロングエントリー、下降トレンドの時は背景が赤色になり、赤色のサインが点灯したらショートエントリーとなります。
サイン自体は逆張りになりますが、大きなトレンド方向に向かってエントリーするため、押し目買い・戻り売りに特化したシグナルツールになります。
メインチャート
FX5_NeelyElliotWave_v1.2

エリオット波動の分析をしやすくするインジです。
チャート上に複数の波が描かれ、相場の大きな流れを視覚的に分かりやすく表示してくれます。
基本的には日足・週足・月足の流れを見ていくため、デイトレレベルではあまり参考にならないかも知れませんが、大きな流れはどんな感じなのか?を見るには役立つと思います。
Candlestick_alerts

水平線やトレンドラインと共に、特定のローソク足が出現すると、その上に何の足なのかを自動で表示してくれるインジです。
使用方法としては、トレンドラインや水平線に当たってから反転を示すローソク足が出たらエントリー、というのが基本になります。
個人的にかなり優秀なインジだと思ってはいるのですが、シグナルが出てその方向に進まなければ、そのローソク足のパターンを示したサインは消えてしまうというデメリットがあります。
しかし、練習君やManual Backtestといったツールを使ってやると、過去の動きと一緒にローソク足のパターンも示してくれるので、検証する際には非常に役立ちます。
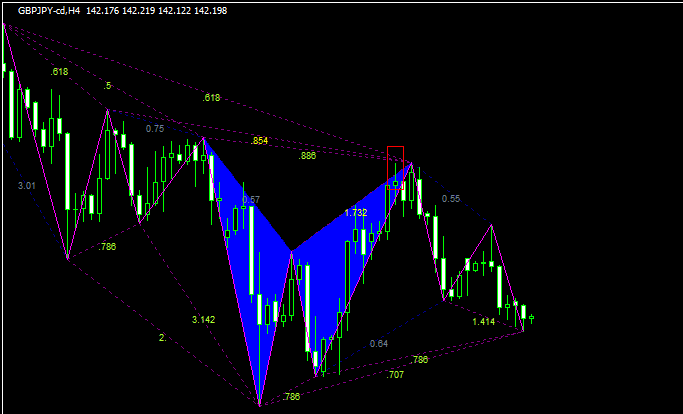
Gartley

ジグザグの波からフィボナッチを求めて、有名なハーモニックパターンであるガートレー222を認識するインジです。(222以外も認識します。)
この手のハーモニックパターン認識はかなり主観性が高くて、人によっては毛嫌いされる事もあるのですが(個人的に私も苦手です)、ツールを利用することで再現性と客観性を高めることは可能です。
むしろ現代ではツールを利用してナンボの手法かと思います。
 ハーモニックパターンに魅せられた人はより客観性を高める方法として使用してみてはいかがでしょうか。
reverse_engineered_rsi

リバースエンジニアRSIを表示するインジです。
リバースエンジニアRSIとは、RSIが上限(デフォルトでは70)、下限(デフォルトでは30)に到達するレートをローソク足チャート上に表示させるものです。
チャートを見るとバンド状に表示され、RSI的に買われすぎ・売られすぎとなるレートの推移をラインで示すことになります。
RSIはボリバンと一緒に使用されることが多いですが、リバースエンジニアRSIとボリバンを組み合わせても面白いのではないかと思います。
例えば、両者のバンドを抜けたタイミングで逆張りする・・・などの戦略がオススメです。
サブチャート
T3 RSI

RSIをT3MAにして表示するインジです。
T3化するとラインがかなり滑らかになるため、大まかな推移が非常に見やすくなります。
このインジでは通常のRSIと一緒にT3RSIが表示されますので、2つの流れを見ながらトレードする事で、上手にダマシを避けてトレード出来るのではないかと思います。
macd with standard deviations

MACDのヒストグラムの推移をボリンジャーバンド化したマニアックなインジです。
ヒストグラムがバンドの2σに到達するとラインの色が緑色、-2σに到達すると橙色になります。
これ単品では使いどころが難しいですが、ローソク足と組み合わせてダイバージェンスを見たり、トレンドの勢いを確認するのに利用できるでしょう。
Spearman Rank Correlation

いわゆるRCIを表示するタイプのインジです。
このインジは、通常のRCIの機能の他に、上限や下限に到達すると色が変わったり、RCIを様々な計算方法で平滑化して表示させることが出来ます。
平滑化は特に期間の小さなRCIに有用です。
更にはマルチタイムにも対応しており、上位時間足のRCIを表示させることも可能です。
RCIが好きな方にはぜひオススメしたいインジです。
相場状況表示タイプのインジ
RSI_Bars

マルチタイムでRSIの状況を知らせてくれるインジです。
チャート右上に表示されるだけなので邪魔になりませんし、各時間足のRSIの状況を細かく伝えてくれるので、マルチタイムで監視する場合には役立ちます。
パラメーターの変更も可能です。
STOCH_Bars

上のRSI Barsのストキャス版です。
マルチタイムでストキャスティクスの状況を色で示してくれます。
 このインジがあれば、各時間足においてストキャスがどこのレートにあるのか、上昇中なのか、下降中なのかまで分かります。
ストキャスを確認したい場合には便利かと思います。
Heatmap MTF window nmc

複数の通貨ペアについてマルチタイムでトレンドの強弱を示すインジです。
この手のインジはぱっと見ただけで相場全体の流れが分かるので便利ですね。
 表示させる通貨ペアや時間足は変更可能ですので、お好みに合わせて使用するといいでしょう。
客観的なトレンド分析用のツールとしてお勧めします。
Part6に続きます
以上、オススメできる無料のインジ15選Part5でした。
 これまでにも多くの役立つインジをご紹介してきましたが、まだまだ使えるインジはあります。
オススメインジケーターシリーズは以下の記事からご覧ください。
- 過去のインジ記事一覧
- 【厳選】個人的にお勧めできるフリーのMT4インジ15選【有料級】
 【凄い】個人的にお勧めできるフリーのMT4インジ ロンドさん製作編【有料級】
 【厳選】個人的にお勧めできるフリーのMT4インジ15選 Part3【最強】
 【厳選】個人的にお勧めできるフリーのMT4インジ15選part4【シグナル多め】
 【優秀】個人的にお勧めできるフリーのMT4インジ15選 Part5【魅力的】
 【これで無料?】個人的にお勧めできるフリーのMT4インジ15選 Part6【ラインタイプ多め】
 【まだまだあるぞ!】個人的にお勧めできるフリーのMT4インジ15選【驚異的】
 【インジに限界はない】個人的にお勧めできるフリーのMT4インジ15選【優秀】
 【インジ厨必見!】個人的にお勧めできるフリーのMT4インジ15選 Part9【客観性の極】
 【超便利】個人的にお勧めできるフリーのMT4インジ15選 Part10【MT4万歳!】
 
 
























