
どこでエントリーするか?
これはトレードにおいて非常に重要なことで、多くのトレーダー、特に初心者ほど、エントリーポイントについて知りたがる傾向にあります。
しかし、トレードにおいてエントリーが全てではないことは、多くの経験者なら知っているはずです。
トレードの利益を決める要素として、エントリー以外にも利食いや損切りのエグジット、口座資金の増減を決める資金管理術、計画通りのトレードを遂行し続けるためのメンタルなどが複雑に絡み合うからです。
これは確かに事実ですが、やはり、最初にリスクを取るタイミングである「エントリー」は何だかんだ言って重要です。
エントリーポイントに優位性があって、エントリー方向に進む傾向が強ければ、利食いと損切りのリスクリワード比を大きく変更することもできますし、何より精神的に楽です。
そこで今回は優位性のあるエントリーとは何か?についてロジカルに考えていきたいと思います。
Contents
市場はゼロサム
外国為替市場は基本的にゼロサムです。
ゼロサムとは、取引で利益を出した人と損をした人の損益を総合するとゼロになるというもの。
つまり、FX取引で利益を出した人がいるということは、その一方で損失を出した人がいる、と言っても良いでしょう。
しかも、FXで勝ち続けられる人の割合は2割以下と言われています。
一時的に勝つ人は大勢いますが、長期に渡って利益を出せる人は限られているのが現実です。
大多数が損失を被り、ほんの一部だけが利益を出し続ける。
これが市場における現実の一つです。
では、一部の人しか勝ち残れない相場で生き残るためにはどうすればいいのでしょうか?
答えは言うまでもなく、トレードの「優位性」です。
絶対にルールを破らないメンタルや、堅実な資金管理術を持っていたとしても、それらはあくまでも守りです。トレードにおいて守りは超重要ですが、それは大損失を防ぐためのもの。
トレードで勝つためには優位性のある攻めがなくては負けてしまうのです。
ゼロサムの中で優位性を得る方法

それでは、ゼロサムの相場の中で優位性のあるトレードをする方法について考えます。
戦わないプレーヤーから優位性を得る
ゼロサムのFX市場は言うまでもなくお金の奪い合いです。
しかし、FX市場では積極的に取引で利益(キャピタルゲイン)を出そうとしていない人たちもいます。
例えばこんな人たちです。
- 中央銀行:為替レートの維持のため
- 企業等の実需筋:輸出入の代金の支払い等
- 機関投資家や個人投資家:外国債券や外国株式購入時の為替ヘッジ等
- 一部のトレーダー:スワップ狙い
- 非トレーダーの個人:海外旅行時の両替、カードの支払、外貨預金等
こういった人達が生じさせる相場の歪みを利用すれば、トレーダーは利益を出すことが可能です。
例えば、2011年の東日本大震災発生後に日銀が複数回介入した時では、ドル円のロンガーが大きな利益を出しました。
また、スイスフランショック前は、ユーロスイスが1.20付近に近づいてきた時に逆張りすれば、スイス国立銀行の介入が入るので、まず勝てる相場でした。(このやり方でトレードをしていてスイスフランショック時に大損失を被った人も多いですが)
介入は少し特別な例ではありますが、市場からキャピタルゲインを求めない参加者もいることを忘れてはいけません。
市場参加者の全てが為替差益を狙っているわけではないのです。
自分よりも下手くそなプレーヤーから優位性を得る
質問です。
答えは簡単です。
自分がエントリーした後に、他のトレーダーが買いポジションを取っていけば相場が上昇していきます。
自分自身の買いポジションはエントリーした時しか上昇のきっかけを作れません。ですから、続いて相場が上げていくためには他のトレーダーたちが続々と買いの注文を入れることが、ロングエントリーで勝つためには必須なのです。

同じ理屈で、ショートした後に相場が下落するためには、ショート後に他のトレーダーが売りポジションを取れば利益が出ます。
つまり、トレードで勝つためには他のトレーダーが参入するりも早い段階でポジションを取る必要があります。早く入れば入るほど、その後のトレンドを丸ごと取ることができるわけです。
逆に言えば、ある程度上昇トレンドが進んでいる状態でロングエントリーをするという行為は、それ以前にロングしていた人たちに利益を与えることになります。

相場がゼロサムであるのなら、トレンドが進めば進むほど、残された利益は少なくなります。
そして、最後にはこれまでに積み上げられたポジションを勝ち組が利食いしていき、後から参入してきたトレーダーは反転する相場の中で含み益を大きく減らし、場合によっては損失を被っていくことになります。
このように、トレードはある意味ババ抜き的な意味合いがあることを忘れてはいけません。
誰もが利益を出せるわけではない、ババを掴んだ人たちが負ける。
まずはこの事実を知っておきましょう。
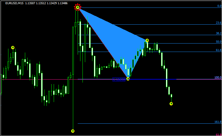
優位性のあるエントリーポイントについて
と考えてしまいがちですが、現実にはトレンドの初動からエントリーするのは非常に難しいです。ピンポイントで初動を狙う場合は逆張りのエントリーになることもありますので、勝率はかなり低くなるのは目に見えています。
こういったことを考えていくと、我々個人トレーダーが狙っていくポイントとしては「トレンドの押し目や戻り目」がベストになるのではないでしょうか。

トレンドの押し目や戻り目は、既に一度はブレイクアウトが発生してトレンドが出てきていることが確認した上でエントリーできますし、更には他のトレーダーが参入してくる可能性も十分にあります。
また、損切りの設定もしやすく、リスクリワードの高いトレードも可能になります。
特にダウ理論の3波の発生を狙うエントリーは、その後大きくトレンドが伸びることもありますので、期待値が高いです。
「第3波がよくわからない」「理屈はわかるけどリアルでは見えてこない」と言う方は、インジケーターを参考にするのも一つの手です。

優位性のないルール
優位性が残っていないトレードはトレンドが長く続いた後の順張りです。
2018年のビットコインバブルの時を思い出してください。
長らく上昇を続けて200万円を超えた時にはニュースになり、ビットコイン取引所のCMがテレビでバンバン放送され、「億り人」と呼ばれる人たちがもてはやされました。
こういった報道を見て欲に目がくらんだ投資経験のない人たちは、高値で買いを入れて、その後の暴落で見事にババをつかまされたことになりました。

2017年12月の初頭から出川哲朗氏を起用したコインチェックのCMが始まりましたが、この時は既にトレンドが終わりかけていたことが分かります。
同時期に取引を始めた「出川組」のほとんどが、市場から撤退したと推測できます。
多くの場合で誰が見てもトレンド状態になっている時は、トレンドの終焉は近いです。
長く続いたトレンド相場には利益は残っていないのです。
ですから、行きすぎた相場で利大を目指すのは賢明ではありません。
いつ反転してきてもおかしくない相場で新規に張り続けるのは、無謀なチキンレースと同じです。
第3波だけを狙う事だけに全てを注いでみてはいかがだろうか?
以上、優位性のあるエントリーポイントについての解説でした。
実際のところ第3波以外のポイントでも優位性あるところはあります。
しかし、それらはある程度チャートが見えていないとわからないポイントだったりすることが多いです。
そのため、裁量トレードを頑張っているけど勝てた経験があまりない人は、第3波までを認識する目を徹底的に磨いて、そこだけでトレードしていくことをお勧めします。
これをやるだけで、ずいぶんと余計なトレードが減って、損小利大とは何かが学べると思います。(勝率は決して高くはないかも知れませんが・・・)
また、相場で利益を出すには大口のプレイヤーの動向を知っておくと非常に強い武器になります。
当サイトでは、大口プレーヤの動きを考慮するトレード手法であるスマートマネーコンセプトについて詳しく解説しておりますので、こちらもぜひご覧ください。
























